留言板
   
 
 
  微门户首页  新闻  讨论区  活动  博客  求职招聘  行业报告  圈内成员  供应   
微门户信息
统计2 会员     6 新闻     0 讨论     0 行业报告     0 求职招聘     0 博客
打开网站 http://360guanxi.com/group/992/
简介【中文名称】氟胺磺隆;3-(4-二甲基氨基-6-(2,2,2-三氟乙氧基)-1,3,5-三嗪-2-氨基甲酰氨基磺酰基)间甲基苯甲酸甲酯
【英文名称】triflulsulfuron-methyl;methyl 2-((4-dimethylamino-6-(2,2,2-trifluoroethoxy)-1,3,5-triazin-2-yl)carbamkoylaulfamoyl)-m-methylbenzaote;methyl-2-(((4-dimethylamino-6-(2,2,2-trifluoroethoxy)-1,3,5-triazin-2-yl)amino)carbonoylaminosulfonyl)-3-methylbensoate
【商品名】Debut;Safari;Upbeet;
【CAS登录号】
126535-15-7
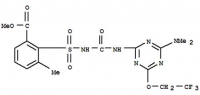
【结构或分子式】
【相对分子量或原子量】492.4
【熔点(℃)】160~163
【毒性LD50(mg/kg)】
大鼠急性经口大于5000,兔急性经皮大于2000。原药对兔眼睛无刺激作用,对豚鼠皮肤无过敏性。Ames试验为阴性。
【溶解情况】
水溶解度分别为(25℃,mg/L):1(pH3)、3(pH5)、110(pH7)、11000(pH9)
【用途】
本品属磺酰脲类除草剂。抑制植物的乙酰乳酸酶(ALS)合成,阻断侧链氨基酸生物合成,从而影响细胞的分裂和生长.本品的防除甜菜田许多阔叶杂草和禾本科杂草,而且是安全性高的芽后除草剂,按两倍的推荐用量施用,对甜菜仍极安全,在l~2叶以上的甜菜中的DT50<6h。添加非离子表面活性剂或植物油有助于改善其互溶性,并提高活性。推荐用量为10~25g(a.i.)/ha,并加入0.05%~0.25%(体积)的表面活性剂或0.5~1.0(体积)的植物油.
【其他】
稳定性:在25℃水中DT50为3.7d(pH5),32d(pH7)、36d(pH9)
CAS Number:126535-15-7
Name:
Benzoic acid,2-[[[[[4-(dimethylamino)-6-(2,2,2-trifluoroethoxy)-1,3,5-triazin-2-yl]amino]carbonyl]amino]sulfonyl]-3-methyl-,methyl ester
Superlist Name:
Triflusulfuron-methyl
Formula:
C17H19F3N6O6S
Molecular Weight:
492.43
Synonyms:
DPX 66037;Safari;Safari (herbicide);Upbeet;
Density:
1.493 g/cm3
分类 微门户
供应更多
热点新闻
标题发布者点击/回复日期
欧盟修订氟胺磺隆允许使用条件 王晗先生 63/0 2013-10-22
加拿大拟定杀虫剂氟磺隆等最大残留限量 王晗先生 67/0 2013-10-22
欧盟拟修改油菜籽中胺苯磺隆的残留限量 程佳 115/0 2013-10-21
WTO通报(2011-09-07)_中国质量新闻网 王晗先生 134/0 2013-07-31
国内企业首个双氟磺草胺制剂产品获批登记 李小雪 106/0 2013-07-29
发达国家及农药巨擘之产品战略 王欣 [Carol Wang] 274/0 2013-06-03
热点讨论
标题发布者点击/回复最新更新

行业报告

热门活动
历史状态没有找到更早文章 >>
专家 (0)
VIP商友 (0)
商友 (1)

王晗先生
市场经理
明桥贸易(上海)有限公司
管理员 (1)

柴琳 [Alma Chai]
运营
上海世易科技有限公司
求职招聘