留言板
   
 
 
  微门户首页  新闻  讨论区  活动  博客  求职招聘  行业报告  圈内成员  供应   
微门户信息
统计2 会员     34 新闻     0 讨论     0 行业报告     0 求职招聘     0 博客
打开网站 http://360guanxi.com/group/968/
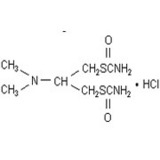
简介中文名称 杀螟丹
英文名称 cartap
其他名称 巴丹、派丹 杀螟丹
毒性 杀螟丹属中等毒性杀虫剂。在正常条件下对眼睛和皮肤无过敏反应。未见致癌、致畸、致突变作用。对鱼有毒,对蜜蜂和家蚕有毒,对鸟类低毒,对蜘蛛等天敌无毒。 
分子式:C7H15N3O2S2 ( • HCl)
性状:杀螟丹通常制成盐酸盐,外观白色晶体,有轻微奇臭味。183~183.5摄氏度分解,熔点(原药)179~181摄氏度。微溶于甲醇,难溶于乙醇,不溶于乙醚,丙酮,氯仿,苯等有机溶剂。在25摄氏度的水中溶解度为200g/L。在酸性介质中稳定,在碱性介质中部稳定,对铁等金属有腐蚀性。
毒性:雄性大鼠急性经口LD50为345MG/KG,雌性为325MG/KG,小鼠急性经口LD50192MG/KG。无致癌,制畸,致突变作用,对家蚕有毒,对鸟低毒,对蜘蛛等天敌安全。
剂型 50%可溶性粉剂。
特点 杀螟丹胃毒作用强,同时具有触杀和一定拒食、杀卵等作用。对害虫击倒快,残效期长,杀虫广谱。
开发 日本武田药品工业株式会社开发
CAS Number:15263-53-3
Name:
Cartap
Formula:
C7H15N3O2S2
Molecular Weight:
237.35
Synonyms:
SanukiteSanvex;Carbamothioic acid,S,S'-[2-(dimethylamino)-1,- 3-propanediyl] ester;Thiobel;(3-carbamoylsulfanyl-2-dimethylamino-propyl)sulfanylformamide;Monosultap;Cartap 98%TC;
Density:
1.309 g/cm3
Boiling Point:
407.2 °C at 760 mmHg
Flash Point:
200.1 °C
Risk Codes:
50/53
Safety:
60-61
分类 微门户
供应更多
热点新闻
标题发布者点击/回复日期
中国对部分农残限量发布新的国家标准 李小雪 206/0 2013-10-21
沙隆达A:高盛高华证券有限责任公司关于Celsius Property B.V.要约... 李小雪 164/0 2013-10-21
湖北沙隆达股份有限公司关于《湖北沙隆达股份有限公司B股要约收购... 李小雪 88/0 2013-10-21
Management of rice leaf folder pest - The Hindu 李小雪 111/0 2013-10-21
湖北沙隆达股份有限公司B股要约收购报告书 程佳 227/0 2013-10-11
[收购]沙隆达A:B股要约收购报告书 程佳 235/0 2013-10-11
北海国发海洋生物产业股份有限公司2012年度报告摘要及公告(系列) 王欣 [Carol Wang] 180/0 2013-08-30
2013年农药企业面临新机会 李小雪 79/0 2013-07-29
茶业农残超标卷土重来 中外标准不一制约出口 程佳 239/0 2013-07-29
茶叶再曝农残超标 中外检测标准不一制约出口 程佳 236/0 2013-07-29
热点讨论
标题发布者点击/回复最新更新

行业报告

热门活动
历史状态没有找到更早文章 >>
专家 (0)
VIP商友 (0)
商友 (1)

李小雪
运营
上海世易科技有限公司
管理员 (1)

李雪
网站客服
上海世易科技有限公司
求职招聘