留言板
   
 
 
  微门户首页  新闻  讨论区  活动  博客  求职招聘  行业报告  圈内成员  供应   
微门户信息
统计3 会员     25 新闻     0 讨论     0 行业报告     0 求职招聘     0 博客
打开网站 http://360guanxi.com/group/568/
简介通用名称
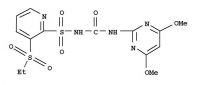
  玉嘧磺隆(rimsulfuron) 商品名称 宝成(Titus)
化学名称
  1-(4,6-二甲氧基嘧啶-2-基)-3-(3-乙基磺酰- 2-吡啶磺酰)脲
理化性质
  纯品为无色结晶体,熔点176~178℃,密度0.784(25℃),蒸气压1.5×10-6Pa(25℃)。水中溶解度 (25℃):<10毫克/升,73克/升(缓冲溶液,pH7);pKa= 4.0。
剂型
  ‍ 95%TC、25%WDG   制剂为棕褐色颗粒,在水中分散性好,pH7,比重0.62~0.72。常温下贮存稳定,保质期3年。
毒性
  大鼠急性经口LD50大于7500毫克/千克,兔急性经皮LD50大于500毫克/千克,大鼠急性吸入LC50(4小时)5.8 毫克/升。鱼毒LC50(96小时,毫克/升):(鱼工)鳟14,大翻车鱼16;对水蚤LC50(48小时)18毫克/升。Ames试验呈阴性。   制剂大鼠急性经口LD50大于5000毫克/千克,兔急性经皮LD50大于2000毫克/千克。对鼠、兔的眼睛稍有刺激作用,但对皮肤无刺激作用,对豚鼠皮肤无过敏性反应。大鼠急性吸入 LC50(4小时)大于5.2毫克/升。无致畸性,Ames试验表明无致突变作用。
编辑本段作用及防治对象
作用特点
  玉嘧磺隆是乙酰乳酸合成酶(ALS)的抑制剂,即通过抑制植物的乙酰乳酸合成酶,阻止支链氨基酸的生物合成,从而抑制细胞分裂。植物分生组织经玉嘧磺隆处理后敏感的禾本科和阔叶杂草停止生长,然后褪绿、斑枯直至全株死亡。
适用作物
  春玉米。
防治对象
  大多数一年生和多年生禾本科及阔叶杂草。可防除稗草、马唐、狗尾草、金狗尾草、野燕麦、野高粱、牛筋草、野黍、藜、风花菜、鸭跖草、荠菜、马齿苋、猪毛菜、狼巴草、反枝苋、野西瓜苗、豚草、苣荬菜、酸模叶蓼、铁苋菜、苘麻、鼬瓣花、刺儿菜、鳢肠、莎草等。
Name:
2-Pyridinesulfonamide,N-[[(4,6-dimethoxy-2-pyrimidinyl)amino]carbonyl]-3-(ethylsulfonyl)-
Superlist Name:
Rimsulfuron
CAS No.:
122931-48-0
Formula:
C14H17N5O7S2
Molecular Weight:
431.44
Synonyms:
Cato;Cato (pesticide);DPX-E 9636;Matrix;Tarot;Titus(pesticide);N-[(4,6-Dimethoxy-2-pyrimidinyl)carbamoyl]-3-(ethylsulfonyl)-2-pyridinesulfonamide;1-(4,6-Dimethoxypyrimidin-2-yl)-3-(3-ethylsulfonyl-2-pyridylsulfonyl)urea;
EINECS:
248-697-83
Density:
1.503 g/cm3
Melting Point:
172-177 °C
Appearance:
White crystal or light yellow powder
分类 微门户
供应更多
热点新闻
标题发布者点击/回复日期
鼓励外商投资高新技术产品目录(2003) 王欣 [Carol Wang] 36/0 2013-08-30
Erdmandelgras – ein neues, hartnäckiges Unkraut in Kartoffeln und Zuck... 王欣 [Carol Wang] 46/0 2013-06-11
Erdmandelgras – ein neues, hartnäckiges Unkraut in Kartoffeln und Zuck... 王欣 [Carol Wang] 33/0 2013-06-10
Erdmandelgras – ein neues, hartnäckiges Unkraut in Kartoffeln und Zuck... 王欣 [Carol Wang] 34/0 2013-06-09
Erdmandelgras – ein neues, hartnäckiges Unkraut in Kartoffeln und Zuck... 王欣 [Carol Wang] 39/0 2013-06-08
韩国强化食品中有害物质安全标准 程佳 551/0 2013-06-08
Fungicide used to treat potato blight detected in groundwater - Farmin... 程佳 415/0 2013-06-07
Erdmandelgras – ein neues, hartnäckiges Unkraut in Kartoffeln und Zuck... 王欣 [Carol Wang] 30/0 2013-06-06
Erdmandelgras – ein neues, hartnäckiges Unkraut in Kartoffeln und Zuck... 王欣 [Carol Wang] 32/0 2013-06-05
今年中国三大类农药市场现状与热点品种分析 王欣 [Carol Wang] 767/0 2013-06-04
热点讨论
标题发布者点击/回复最新更新

行业报告

热门活动
历史状态没有找到更早文章 >>
专家 (0)
VIP商友 (0)
商友 (2)

王欣 [Carol Wang]
360关系网--频道主管
上海世易科技有限公司

果乾
编辑
上海世易科技有限公司
管理员 (1)

柴琳 [Alma Chai]
运营
上海世易科技有限公司
求职招聘