留言板
   
 
 
  微门户首页  新闻  讨论区  活动  博客  求职招聘  行业报告  圈内成员  供应   
微门户信息
统计2 会员     38 新闻     0 讨论     0 行业报告     0 求职招聘     0 博客
打开网站 http://360guanxi.com/group/335/
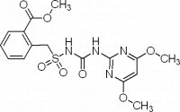
简介英文通用名:
  bensulfuron methyl
商品名称:
  农得时(Londax)
化学性质:
  纯品为白色无臭固体,m.p.185~188℃,蒸气压1.733×10-3Pa (20℃)。溶解度为:二氯甲烷11720mg/L,乙腈5380mg/L,二甲苯280mg/L,乙酸乙酯1660mg/L,丙酮1380mg/L,甲醇990mg/L, 己烷3.1mg/L,水1200mg/L。分配系数为4.1。在微碱性(pH=8)水溶液中稳定,在酸性溶液中缓慢分解。pH值5时半衰期11d,pH值7时为143d。原药略带浅黄色。
苄嘧磺隆结构式
毒性:
  大鼠急性经口LD50为5000mg/kg,小鼠>10985mg/kg。家兔急性经皮LD50>2000mg/kg。对眼无刺激。大鼠慢性经口无作用剂量为750mg/kg。动物试验未见致畸、致癌、致突变作用。鲤鱼LC50>1000mg/L (48h),野鸭急性经口LD50>2150mg/kg。

中毒症状:
  对眼睛、皮肤和粘膜有刺激作用,不大量摄入没有全身中毒症状。

急救治疗:
  根据中毒症状进行治疗,没有专门的解毒药。用水冲洗皮肤和粘膜。如果摄入,要催吐。

剂型:
  10%可湿性粉剂。

特点:
  是选择性内吸传导型除草剂。药剂在水中迅速扩散,经杂草根部和叶片吸收后转移到其它部位,阻碍支链氨基酸生物合成。敏感杂草生长机能受阻、幼嫩组织过早发黄,抑制叶部、根部生长。能有效防治稻田1年生及多年生阔叶杂草和莎草,能被杂草根、叶吸收并传到其他部位。对水稻安全,使用方法灵活。

适用范围:
  适用于稻田防除1年生及多年生阔叶杂草和莎草,在作物芽后,杂草芽前及芽后施药,对鸭舌草、眼子菜、节节菜等及莎科杂草(牛毛草、异型莎草、水莎草等)效果良好。
分类 微门户
供应更多
热点新闻
标题发布者点击/回复日期
国际茶业市场动态 王欣 [Carol Wang] 60/0 2013-08-27
上海质监抽查:农药产品质量合格率100% 张维 [Jon] 729/0 2013-07-11
城固开展水稻大田专业化统治工作 程佳 880/0 2013-07-07
无公害稻米――产地环境 王欣 [Carol Wang] 68/0 2013-07-06
水稻蔬菜播种后可用哪些除草剂 - 中国农业网 王欣 [Carol Wang] 681/0 2013-06-20
日本修订茶叶农残标准 顺德茶叶出口面临新挑战 王欣 [Carol Wang] 60/0 2013-06-15
浅谈二十一世纪的中国农药工业 程佳 3214/0 2013-06-15
水稻浅湿干交替灌溉节水增产 王欣 [Carol Wang] 1279/0 2013-06-13
水稻浅湿干交替灌溉节水增产 - 搜狐 王欣 [Carol Wang] 900/0 2013-06-13
春季小麦病虫草危害要早防早治 李小雪 108/0 2013-06-09
热点讨论
标题发布者点击/回复最新更新

行业报告

热门活动
历史状态没有找到更早文章 >>
专家 (0)
VIP商友 (0)
商友 (1)

王欣 [Carol Wang]
360关系网--频道主管
上海世易科技有限公司
管理员 (1)

柴琳 [Alma Chai]
运营
上海世易科技有限公司
求职招聘