留言板
   
 
 
  微门户首页  新闻  讨论区  活动  博客  求职招聘  行业报告  圈内成员  供应   
微门户信息
统计2 会员     29 新闻     0 讨论     0 行业报告     0 求职招聘     0 博客
打开网站 http://360guanxi.com/group/1078/
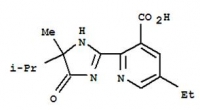
简介产品名称: 咪草烟原药
产品类别: 原药
通用名:咪唑乙烟酸、咪草烟、普杀特、普施特
CAS NO: [81335-77-5]
化学名称:(RS)5-乙基-2-(4-异丙基-4-甲基-5-氧代-3-咪唑啉-2-基)烟酸
化学文摘名称: 2-[4,5-二氢-4-甲基-4-(1-甲基乙基)-5-羰基-1H-咪唑-2-基]-5-乙基-3-吡啶羧酸
分子式:C15H19N3O3
分子量:289.3
中科院登记号:81335-77-5
CAS Number:81335-77-5
Name:
Imazethapyr
Formula:
C15H19N3O3
Molecular Weight:
289.33
Synonyms:
5-Ethyl-2-(4-isopropyl-4-methyl-5-oxo-2-imidazolin-2-yl)nicotinic acid;AC 263499;CL 263499;Fabian;
Density:
1.28 g/cm3
Melting Point:
169-173 °C
Boiling Point:
446.8 °C at 760 mmHg
Flash Point:
224 °C
分类 微门户
供应更多
热点新闻
标题发布者点击/回复日期
齐齐哈尔加强高毒农药和长残效除草剂的监管 王晗先生 106/0 2013-10-23
山东一批农药产品申报2011年名牌正公示 王晗先生 118/0 2013-10-23
专家:合理轮作调茬避免残留药害 王晗先生 75/0 2013-10-23
绿豆田化学除草方法 王晗先生 105/0 2013-10-23
药检所:2012年中国农药品种出口排名 程佳 519/0 2013-08-21
Print page. 王欣 [Carol Wang] 772/0 2013-07-12
及时开展化学除草,严防草荒发生 王欣 [Carol Wang] 897/0 2013-07-04
药检所:2012年中国农药品种出口排名 - 新浪网 程佳 2192/0 2013-06-20
New MANA soybean herbicides strengthen resistance management programs ... 许沛雨 287/0 2013-06-12
2012年中国农药出口大幅增长 程佳 336/0 2013-06-08
热点讨论
标题发布者点击/回复最新更新

行业报告

热门活动
历史状态没有找到更早文章 >>
专家 (0)
VIP商友 (0)
商友 (1)

王晗先生
市场经理
明桥贸易(上海)有限公司
管理员 (1)

柴琳 [Alma Chai]
运营
上海世易科技有限公司
求职招聘