留言板
   
 
 
  微门户首页  新闻  讨论区  活动  博客  求职招聘  行业报告  圈内成员  供应   
微门户信息
统计2 会员     119 新闻     0 讨论     0 行业报告     0 求职招聘     0 博客
打开网站 http://360guanxi.com/group/986/
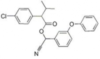
简介英文名称:fenvalerate
化学式:C25H22ClNO3
分子量:419.9
化学名称:(S)-α-氰基-3-苯氧基苄基(S)-2-(4-氯苯基)-3-甲基丁酸酯[(S)-α-cyano-3-phenoxybenzyl(S)-2-(4-chlorophenyl)-3-methylbutyrate]。
其它名称:杀灭菊酯、来福灵(Sumi-alpha)、 速灭杀丁、中西杀灭菊酯
性质

原药为褐色粘稠液体,比重为1.26(26℃),沸点大于200℃(1.0m mHg),熔点59.0~60.2℃,蒸气压2.6×10-7mmHg(20℃)。几乎不溶于水,易溶 于二甲苯、丙酮、氯仿等有机溶剂。燃点420℃,闪点大于200℃,常温贮存稳定性两年以上。
原药为黄色到褐色粘稠状液体,室温下有部分结晶析出,蒸馏时分解。对热、潮湿稳定,酸性介质中相对稳定,碱性介质中迅速水解。
毒性

氰戊菊酯属中等毒性杀虫剂,原药大鼠急性经口LD50为451mg/kg,大鼠急性经皮LD50>5000mg/kg,大鼠急性吸入LC50>101mg/m3,,对兔皮肤有轻度刺激,对眼睛有中度刺激。没有致突变、致畸和致癌作用。对蜜蜂、鱼虾、家禽等毒性高,使用时注意不要污染河流、池塘、桑园和养蜂场。
特点与适用范围

特点 氰戊菊酯杀虫谱广,对天敌无选择性,以触杀和胃毒作用为主,无内吸和熏蒸作用。
剂型 20%氰戊菊酯乳油。
适用范围 对鳞翅目幼虫效果良好。对同翅目、直翅目、半翅目等害虫也有较好的效果,但对螨无效。适用于棉花、果树、蔬菜、大豆、小麦等作物。
使用方法

1、棉花害虫的防治 棉铃虫于卵孵盛期、幼虫蛀蕾铃之前施药,每亩用20%乳油25-50ml水喷雾。 棉红铃虫在卵孵盛期也可用此浓度进行有效防治。同时可兼治红蜘蛛、小造桥虫、金刚钻、卷叶虫、蓟马、盲蝽等害虫。 棉蚜每亩用20%乳油10-25ml,对伏蚜则要增加用量。
2、果树害虫的防治 柑橘潜叶蛾在各季新梢放梢初期施药,用20%乳油5000-8000倍喷雾。同时兼治橘蚜、卷叶蛾、木虱等。 柑橘介壳虫于卵孵盛期用20%乳油2000-4000倍液喷雾。
3、蔬菜害虫的防治 菜青虫2-3龄幼虫发生期施药,每亩用20%乳油10-25ml。 小菜蛾在3龄前用20%乳油15-30ml/亩进行防治。
4、大豆害虫的防治 防治食心虫于大豆开花盛期、卵孵高峰期施药,每亩用20%乳油20-40ml,能有效防治豆荚被害,同时可兼治蚜虫、地老虎。
5、小麦害虫的防治 防治麦蚜、粘虫、于麦蚜发生期、粘虫2-3龄幼虫发生期施药,用20%乳油3000-4000倍液喷雾。
①防治枣树、苹果等果树的桃小食心虫、梨小食心虫、刺蛾、卷叶虫等,在成虫产卵期间,于初孵幼虫蛀果前喷布3000倍20%氰戊菊酯乳油+1000倍果树专用型“天达2116”,可杀灭虫卵、幼虫,防止蛀果,其残效期可维持10-15天,保果率高。
②防治螟蛾、叶蛾等,在幼虫出蛰为害初期喷布2000-3000倍20%氰戊菊酯乳油+1000倍果树专用型“天达2116”液,杀虫保叶效果好,还可兼治蚜虫、木虱等。
③防治叶蝉、潜叶蛾等,在成虫产卵初期喷布4000-5000倍20%乳油液,杀虫保叶效果良好。
④防治枣树、苹果等果树的食叶性害虫刺蛾类、天幕毛虫、苹果舟蛾等,在低龄幼虫盛发期、集中为害时喷布20%乳油2000-5000倍液。
注意事项

1、不要与碱性农药等物质混用。
2、对蜜蜂、鱼虾、家蚕等毒性高,使用时注意不要污染河流、池墉、桑园、养蜂场所。
3、在害虫、害螨并发的作物上使用此药,由于对螨无效,对天敌毒性高,易造成害螨猖獗,所以要配合杀螨剂。
4、在使用过程中如药液溅到皮肤上,应立即用肥皂清洗,如药溅到眼中,应立即用大量清水冲洗。如误食,可用促吐、洗胃治疗,对全身中毒初期患者,可用二苯甘醇酰脲或乙基巴比特对症治疗。
CAS Number:51630-58-1
Name:
Fenvalerate
Formula:
C25H22ClNO3
Molecular Weight:
419.93
Deleted CAS:
131641-62-8
Synonyms:
Sumicidin;Sumitick;Sumifleece;Benzeneacetic acid, 4-chloro-alpha-(1-methylethyl)-, cyano(3-phenoxyphenyl)methyl ester;Sumipower;(RS)-alpha-Cyano-3-phenoxybenzyl (RS)-2-(4-chlorophenyl)-3-methylbutyrate;Belmark;alpha-Cyano-3-phenoxybenzyl-2-(4-chlorophenyl)-3-methylbutyrate;Fenvalerate [BSI:ISO];Aqmatrine;Phenoxin;Fenoxin;Tirade;Phenvalerate;alpha-Cyano-3-phenoxybenzyl alpha-(4-chlorophenyl)isovalerate;Fenusa pusillaBirch leaf miner is also indexed at this headingFenval;Insectral;Fenkem;Sanmarton;Sumkidin;Benzeneacetic acid,4-chloro-R-(1-methylethyl)- ,cyano(3-phenoxyphenyl)methyl ester;alpha-Cyano-3-phenoxybenzyl alpha-isopropyl-4-chlorophenylacetate;Sumibac;Ectrin;Pydrin;Cyano(3-phenoxybenzyl)methyl 2-(4-chlorophenyl)-3-methylbutyrate;Tribute;(+)-alpha-Cyano-3-phenoxybenzyl-(+)-alpha-(4-chlorophenyl)isovalerate;Fenaxin;4-Chloro-alpha-(1-methylethyl)benzeneacetic acid cyano(3-phenoxyphenyl)methyl ester;Fenval;
EINECS:
257-326-3
Density:
1.21 g/cm3
Boiling Point:
538.9 °C at 760 mmHg
Flash Point:
279.7 °C
Appearance:
clear viscious yellow liquid
Risk Codes:
25-36/37/38-50/53-57
Safety:
26-45-60-61 Details
Transport Information:
UN 2811 6.1/PG 3
分类 微门户
供应更多
热点新闻
标题发布者点击/回复日期
露地夏菜病害防治 王晗先生 87/0 2013-10-22
大白菜病毒病的发生与防治 王晗先生 65/0 2013-10-22
2013年7月全市蔬菜质量安全例行监测情况 王晗先生 65/0 2013-10-22
河北再发暴雨蓝色预警 东部和中南部将迎强降雨_新华网河北频道 王晗先生 76/0 2013-10-22
贵州质监通报茶叶监督抽查结果:4批次产品感官指标不合格 王晗先生 70/0 2013-10-22
代用_标签_网易财经 王晗先生 76/0 2013-10-22
青岛质监公布2013年三季度含茶制品及代用茶产品质量监督抽查结果 王晗先生 72/0 2013-10-22
福建上季度茶叶抽查4批次三氯杀螨醇不合格 王晗先生 70/0 2013-10-22
辣椒烟青虫的防治方法 王晗先生 78/0 2013-10-22
鄞州区房地产管理处白蚁防治药品招标公告 王晗先生 66/0 2013-10-22
热点讨论
标题发布者点击/回复最新更新

行业报告

热门活动
历史状态没有找到更早文章 >>
专家 (0)
VIP商友 (0)
商友 (1)

王晗先生
市场经理
明桥贸易(上海)有限公司
管理员 (1)

柴琳 [Alma Chai]
运营
上海世易科技有限公司
求职招聘