留言板
   
 
 
  微门户首页  新闻  讨论区  活动  博客  求职招聘  行业报告  圈内成员  供应   
微门户信息
统计3 会员     162 新闻     0 讨论     0 行业报告     0 求职招聘     0 博客
打开网站 http://360guanxi.com/group/911/
简介利巴韦林又名病毒唑、三氮唑核苷、尼斯可等,是广谱强效的抗病毒药物,目前广泛应用于病毒性疾病的防治。常用剂型有注射剂、片剂、口服液、气雾剂等。
  利巴韦林副作用少,不良反应发生率低,根据其药理作用,应用时要注意大剂量长期使用本药可引起白细胞减少、贫血、血清转氨酶和胆红素升高。应避免盲目、超量用药。大剂量使用本药所引起的胆红素增高和血红蛋白下降,可对临床检验和诊断造成干扰。

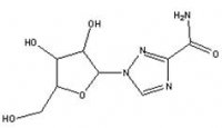
【通用名】 利巴韦林
【化学名】 1-β-D-呋喃核糖基-1H-1,2,4,-三氮唑-3-羧酰胺
【拼音名】 LIBAWEILIN 【英文名】 RIBAⅥRIN 利巴韦林化学结构式
【标示】CAS编码:36791-04-5
ATC编码:J05AB04
PubChem:5064
DrugBank:APRD00081
【分子式】 C8H12N4O5
【分子量】 244.21
【别名】病毒唑(Bingduzuo) 利巴韦林(Ribavirin),三氮唑核苷(Ribavirin),威乐星,Virazde,RBV。
Ribavirin (brand names: Copegus, Rebetol, Ribasphere, Vilona, and Virazole) is an anti-viral drug indicated for severe RSV infection (individually), hepatitis C infection (used in conjunction with peginterferon alfa-2b or peginterferon alfa-2a), and other viral infections. Ribavirin is a prodrug, which when metabolized resembles purine RNA nucleotides. In this form it interferes with RNA metabolism required for viral replication. How it exactly affects viral replication is unknown; many mechanisms have been proposed for this (see Mechanisms of Action, below) but none of these has been proven to date. Multiple mechanisms may be responsible for its actions.

The primary observed serious adverse side effect of ribavirin is hemolytic anemia, which may worsen preexisting cardiac disease. The mechanism for this effect is due to ribavarin's buildup inside erythrocytes. Oxidative damage to erythrocyte cell membrane is usually inhibited by glutathione; however, with reduced ATP levels caused by ribavirin, glutathione levels are impaired, permitting oxidative erythrocyte cell lysis. The gradual loss of erythrocytes leads to anemia. The anemia is dose-dependent and may sometimes be compensated by decreasing dose. Ribavirin is also a teratogen in some animals species and thus poses a theoretical reproductive risk in humans, remaining a hazard as long as the drug is present, which can be as long as 6 months after a course of the drug has ended.

Systematic (IUPAC) name
1-[(2R,3R,4S,5R)-3,4-dihydroxy-5-(hydroxymethyl)oxolan-2-yl]-1H-1,2,4-triazole-3-carboxamide
Clinical data
Trade names Virazole
AHFS/Drugs.com monograph
MedlinePlus a605018
Pregnancy cat. US: X; AU: X
Legal status Ethical U.S. pharmaceutical; Not DEA-controlled.
Routes Liquid for inhalation; oral capsule and tablet
Pharmacokinetic data
Bioavailability 45% oral (without food), about 76% with fatty meal
Metabolism Metabolized to 5'phosphates, de-riboside, and deriboside carboxylic acid
Half-life 12 days - Multiple Dose; 120-170 hours - Single Dose
Excretion 10% fecal, remainder in urine (30% unchanged, remainder metabolites)
Identifiers
CAS number 36791-04-5 Y
ATC code J05AB04
PubChem CID 37542
DrugBank DB00811
ChemSpider 34439 Y
UNII 49717AWG6K Y
KEGG D00423 Y
ChEMBL CHEMBL1643 Y
NIAID ChemDB 000053
Synonyms 1-(β-D-Ribofuranosyl)-1H-1,2,4-triazole-3-carboxamide
分类 微门户
供应更多
热点新闻
标题发布者点击/回复日期
曙光――聚乙二醇干扰素在丙型肝炎治疗的应用 王欣 [Carol Wang] 51/0 2013-09-27
大连果菜质量合格率 高于全国平均水平 王欣 [Carol Wang] 51/0 2013-09-27
巨丰龙虎榜:亚太药业(002370) 王欣 [Carol Wang] 58/0 2013-09-27
JAMA:Sofosbuvir+利巴韦林可用于治疗病毒学应答不佳的基因1型慢性... 王欣 [Carol Wang] 51/0 2013-09-27
美研究建议用丙肝药治疗新型冠状病毒 王欣 [Carol Wang] 53/0 2013-09-27
美国:建议使用丙肝药治疗新型冠状病毒 王欣 [Carol Wang] 50/0 2013-09-27
私募早间股票市场传闻及消息点评(2013-09-12) 王欣 [Carol Wang] 51/0 2013-09-27
【公司传闻】9月12日私募传闻曝光 王欣 [Carol Wang] 59/0 2013-09-27
9月12日私募内参:上海自贸区总体方案最快一周内披露 王欣 [Carol Wang] 56/0 2013-09-27
9月12日私募基金内幕传闻及内参 王欣 [Carol Wang] 53/0 2013-09-27
热点讨论
标题发布者点击/回复最新更新

行业报告

热门活动
历史状态没有找到更早文章 >>
专家 (0)
VIP商友 (0)
商友 (2)

王欣 [Carol Wang]
360关系网--频道主管
上海世易科技有限公司

果乾
编辑
上海世易科技有限公司
管理员 (1)

柴琳 [Alma Chai]
运营
上海世易科技有限公司
求职招聘