留言板
   
 
 
  微门户首页  新闻  讨论区  活动  博客  求职招聘  行业报告  圈内成员  供应   
微门户信息
统计3 会员     49 新闻     0 讨论     0 行业报告     0 求职招聘     0 博客
打开网站 http://360guanxi.com/group/600/
简介英文通用名 brassinolide 
中文别名:益丰素,天丰素,油菜素内酯,农梨利   
曾用商品名:硕丰481、金威丰素、威敌408、芸薹素内酯、保靓、天丰素、果宝、增产灵、金云大等   
英文别名:Brassins,BR,Kayaminori   
农药类别:植物生长调节剂
化学类别:激素类   
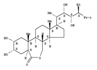
化学名:2a,3a,22s,23s-四羟基-24R-乙基-β-高-7-氧杂-5a-胆甾-6-酮   
分子式:C29H50O6   
分子量:494   
外观:白色结晶粉末   
溶解性:易溶于甲醇、乙醇、氯仿、丙酮等   
pH值:5.4   
毒性 对人畜低毒。大鼠急性口服LD50>2000mg/kg,急性经皮LD50>2000mg/kg,鱼毒也很低。
Classification Plant Growth Regulator
CAS No. 72962-43-7
Other Names Epibrassinolide
MF C29H50O6
Purity 90% TC
Application plant growth regulator.
分类 微门户
供应更多
热点新闻
标题发布者点击/回复日期
新型植物生化激活剂――康壮素 王晗先生 156/0 2013-09-02
新型植物生化激活剂―康壮素 王晗先生 179/0 2013-09-02
呵护肌肤 由胶原蛋白开始 王晗先生 155/0 2013-09-02
生物农药,正在兴起的农业新技术 王晗先生 166/0 2013-07-31
植物G蛋白与植物防卫反应 王晗先生 180/0 2013-07-13
北京生命科学研究所发现新抗性蛋白SUMM2 王晗先生 175/0 2013-07-13
基因研究揭开80年未决谜题:植物开花机制 王晗先生 159/0 2013-07-10
5款男士保湿霜 温顺庇护男人的面子 王晗先生 168/0 2013-06-22
誉之生命火种的人参果营养价值如何呢 王晗先生 182/0 2013-06-22
常吃6类“抗感菜”提高免疫力 王晗先生 164/0 2013-06-22
热点讨论
标题发布者点击/回复最新更新

行业报告

热门活动
历史状态没有找到更早文章 >>
专家 (0)
VIP商友 (0)
商友 (2)

果乾
编辑
上海世易科技有限公司

王晗先生
市场经理
明桥贸易(上海)有限公司
管理员 (1)

柴琳 [Alma Chai]
运营
上海世易科技有限公司
求职招聘