留言板
   
 
 
  微门户首页  新闻  讨论区  活动  博客  求职招聘  行业报告  圈内成员  供应   
微门户信息
统计3 会员     37 新闻     0 讨论     0 行业报告     0 求职招聘     0 博客
打开网站 http://360guanxi.com/group/587/
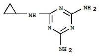
简介环丙氨嗪,又名灭蝇胺,纯品为无色晶体。 环丙氨嗪
一、化学名称:N—环丙基-1.3.5-三嗪-2.4.6三胺,含量≥98%。   
二、作用机理:通过强烈的内传导使幼虫在形态上发生畸变,成虫羽化不全,或受抑制,从而阻止幼虫到蛹正常发育,达到杀虫目的。   
三、控制范围:可控制所有威胁集约化动物养殖场的蝇类,包括:家蝇、黄腹厕蝇、光亮扁角水虻和厩螫蝇,并可控制跳蚤及防止羊身上的绿蝇属幼虫等。
主要用途为:   
1、环丙氯嗪属1,3,5-三嗪类昆虫生长调节剂,对双翅目幼虫有特殊活性,有内吸传导作用,诱使双翅目幼虫和蛹在形态上发生畸变,成虫羽化不全或受抑制。   
2、以1g(a.i.)/L浸泡或喷淋,可防治羊身上的丝光绿蝇。 3、加到鸡饲料中,可防治鸡粪上蝇幼虫,也可在蝇繁殖的地方进行局部处理。   
4、防治观赏植物和蔬菜上的潜叶蝇,尤其对南美潜斑蝇是国际上最有效的药物。
Name:Cyromazine
CAS No.:66215-27-8
Formula:C6H10N6
Molecular Weight:166.18
Synonyms:1,3,5-Triazine-2,4,6-triamine,N-cyclopropyl- (9CI);2,4-Diamino-6-(cyclopropylamino)-s-triazine;2-Cyclopropylamino-4,6-diamino-s-triazine;CGA 72662;Citation;Cyclopropylmelamine;
EINECS:266-257-8
Density:1.622 g/cm3
Melting Point:223-227 °C(lit.)
Boiling Point:480.7 °C at 760 mmHg
Flash Point:244.5 °C

分类 微门户
供应更多
热点新闻
标题发布者点击/回复日期
粟海肉鸡:被工业化的家禽 王欣 [Carol Wang] 72/0 2013-08-30
什么是三聚氰胺?是否有毒? 王欣 [Carol Wang] 63/0 2013-08-30
三聚氰胺的危害及用途 王欣 [Carol Wang] 62/0 2013-08-30
“速成鸡”科普帖 王欣 [Carol Wang] 476/0 2013-08-30
肯德基隐瞒自检结果 食品召回制度形同虚设 王欣 [Carol Wang] 157/0 2013-08-30
舟山市普陀中牧生物化工有限公司产品报价 王欣 [Carol Wang] 63/0 2013-08-30
冬春季猪呼吸道疾病的防治 - 新浪网 王欣 [Carol Wang] 56/0 2013-08-30
秋季水灾后要做好猪病的防控 - 新浪网 王欣 [Carol Wang] 54/0 2013-08-30
“45天速成鸡”引发食品安全信任危机 王晗先生 166/0 2013-07-29
蛋鸡健康养殖理念 王欣 [Carol Wang] 64/0 2013-07-10
热点讨论
标题发布者点击/回复最新更新

行业报告

热门活动
历史状态没有找到更早文章 >>
专家 (0)
VIP商友 (0)
商友 (2)

王欣 [Carol Wang]
360关系网--频道主管
上海世易科技有限公司

果乾
编辑
上海世易科技有限公司
管理员 (1)

柴琳 [Alma Chai]
运营
上海世易科技有限公司
求职招聘