留言板
   
 
 
  微门户首页  新闻  讨论区  活动  博客  求职招聘  行业报告  圈内成员  供应   
微门户信息
统计3 会员     245 新闻     0 讨论     0 行业报告     0 求职招聘     0 博客
打开网站 http://360guanxi.com/group/453/
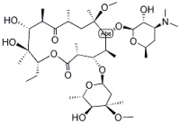
简介中文名称: 克拉红霉素
中文别名: 克拉仙; 克拉霉素
英文名称: Clarithromycin
英文别名: 6-O-Methylerythromycin; A-56268; Biaxin; Klacid; TE-03; (3R,4S,5S,6R,7R,9R,11R,12R,13S,14R)-6-{[(2S,3R,4S,6R)-4-(dimethylamino)-3-hydroxy-6-methyltetrahydro-2H-pyran-2-yl]oxy}-14-ethyl-12,13-dihydroxy-4-{[(2R,4R,5S,6S)-5-hydroxy-4-methoxy-4,6-dimethyltetrahydro-2H-pyran-2-yl]oxy}-7-methoxy-3,5,7,9,11,13-hexamethyloxacyclotetradecane-2,10-dione (non-preferred name); (3R,4S,6R,7R,9R,11R,12R,13S,14R)-6-{[(2S,3R,4S,6R)-4-(dimethylamino)-3-hydroxy-6-methyltetrahydro-2H-pyran-2-yl]oxy}-14-ethyl-12,13-dihydroxy-4-{[(2R,4R,5S,6S)-5-hydroxy-4-methoxy-4,6-dimethyltetrahydro-2H-pyran-2-yl]oxy}-7-methoxy-3,5,7,9,11,13-hexamethyloxacyclotetradecane-2,10-dione (non-preferred name)
CAS号: 81103-11-9
分子式: C38H69NO13
分子量: 747.9534
克拉霉素又名甲红霉素,是红霉素的衍生物,上世纪90年代初由日本大正公司开发成功,并以商品名Clarith注册。尔后,大正公司首先将其技术转让给美国雅培公司生产;1990年在爱尔兰、意大利上市,1991年10月获FDA批准定为IB类新药上市,商品名Biaxin,1993年以Klacid在中国香港上市,在欧洲和亚洲的商品名为克拉仙,目前已在全球50多个国家上市,市场用量稳步增长,并在临床中发挥了重要作用。克拉霉素及其片剂、目前生产的剂型还有颗粒剂、分散片、缓释片、注射剂和干混悬剂。
分类 微门户
供应更多
热点新闻
标题发布者点击/回复日期
夏天服药人群少吃菠菜 王欣 [Carol Wang] 61/0 2013-08-28
喝豆浆后不能急着吃药? 王欣 [Carol Wang] 60/0 2013-08-28
2013-2018年中国克拉霉素缓释片行业调查及市场前景咨询报告 王欣 [Carol Wang] 55/0 2013-08-28
2013-2018年中国克拉霉素分散片行业调查及市场前景咨询报告 王欣 [Carol Wang] 68/0 2013-08-28
原料药遇瓶颈 特色原料药和制剂是方向 王欣 [Carol Wang] 58/0 2013-08-28
餐中服药效更充分 还能减轻对胃的刺激 王欣 [Carol Wang] 109/0 2013-08-28
胃溃疡吃什么中药 胃溃疡怎样服用 王欣 [Carol Wang] 58/0 2013-08-28
有些药让口味变重 不要吃得过甜过咸 王欣 [Carol Wang] 92/0 2013-08-28
走进新国企:新华制药70年坚守打造责任药企 王欣 [Carol Wang] 106/0 2013-08-28
有些药让口味变重 服药期间饮食需注意 王欣 [Carol Wang] 82/0 2013-08-28
热点讨论
标题发布者点击/回复最新更新

行业报告

热门活动
历史状态没有找到更早文章 >>
专家 (0)
VIP商友 (0)
商友 (2)

王欣 [Carol Wang]
360关系网--频道主管
上海世易科技有限公司

果乾
编辑
上海世易科技有限公司
管理员 (1)

柴琳 [Alma Chai]
运营
上海世易科技有限公司
求职招聘