留言板
   
 
 
  微门户首页  新闻  讨论区  活动  博客  求职招聘  行业报告  圈内成员  供应   
微门户信息
统计3 会员     0 新闻     0 讨论     0 行业报告     0 求职招聘     0 博客
打开网站 http://360guanxi.com/group/365/
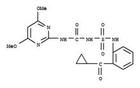
简介英文通用名 cyclosulfamuron
  其他名称 金秋,AC322,140 毒性 属低毒除草剂。大鼠急性经口LD50>5000毫克/公斤,兔急性经皮LD50>4000毫克/公斤。
  剂型 10%可湿性粉剂
  特点 属磺酰胺类化合物,主要通过抑制杂草体内乙酰乳酸合成酶,从而阻碍支链氨基酸的合成,使细胞停止分裂,最后导致死亡。
  适用范围 主要用于水稻直播田及本田,还可用于小麦、大麦、草皮中。用于防阔叶和莎草科杂草如鸭舌草、雨久花、泽泻、狼巴草,母草、瓜皮草、牛毛毡、矮慈姑、异型莎草等。对多年生鹿杆草也有较强抑制效果。对水稻有增产作用。
  使用方法
  1.水稻移栽田 插秧后3-5天用毒土法施药,撒毒土0.67-1公斤/公顷,水层保持4-5cm,药后5天不排灌。南方使用剂量15-20克/公顷(有效成分),北方20-30克/公顷(有效成分)。
  2、水稻直播田 播种后10-15天(秧田1叶1心至2叶期)施药前一天灌水后排干,茎叶喷雾,药后第二天复水,南方用量20-30克/公顷(有效成分)。
  3.大麦、小麦田 防除海绿、荠菜、白芥菜、婆婆纳、猪殃殃、荞麦蔓、苦苣菜、虞美人等,用药量25-50克/公顷(有效成分计),苗前土壤处理或茎叶处理均可。
  注意事项 在高剂量下,如60克/公顷,水稻会发生矮化或白化现象,但能很快恢复,对后期生长和产量无任何影响。
分类 微门户
供应更多
热点新闻
标题发布者点击/回复日期
热点讨论
标题发布者点击/回复最新更新

行业报告

热门活动
历史状态没有找到更早文章 >>
专家 (0)
VIP商友 (0)
商友 (2)

王欣 [Carol Wang]
360关系网--频道主管
上海世易科技有限公司

果乾
编辑
上海世易科技有限公司
管理员 (1)

柴琳 [Alma Chai]
运营
上海世易科技有限公司
求职招聘