留言板
   
 
 
  微门户首页  新闻  讨论区  活动  博客  求职招聘  行业报告  圈内成员  供应   
微门户信息
统计2 会员     53 新闻     0 讨论     0 行业报告     0 求职招聘     0 博客
打开网站 http://360guanxi.com/group/1001/
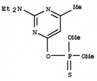
简介中文通用名: 甲基嘧啶磷
英文通用名: Pirimiphos-methyl
又名: 安得利
化学名称: O-O-二甲基-O-(2-二乙胺基-6-甲基嘧啶-4-基)-硫逐磷酸酯
理化性质: 原药为棕黄色液体,相对密度(d30)1.157,30℃蒸气压为13mPa,30℃水中溶解度为5mg/L,易溶于大多数有机溶剂。可被强酸和碱水解,对光不稳定,对黄铜、不锈钢、尼龙、聚乙烯和铝无腐蚀性。
应用: 是有机磷速效、广谱的杀虫剂、杀螨剂,具有胃毒和熏蒸作用。对于储粮甲虫、象鼻虫、米象、锯谷盗、拟锯谷盗、谷蠹、粉斑螟、蛾类和螨类均有良好的药效。也可防治仓库害虫、家庭及公共卫生害虫(蚊、蝇)。
毒性: 本品低毒,大白鼠雌性急性经口LD50为2050mg/kg;对鸟类、鸡毒性较大,对鱼中毒。
注意事项: 90%原油,50%乳油(w/v),20%水乳剂(EW)。
CAS Number:29232-93-7
Name:
Pirimiphos-methyl
Formula:
C11H20N3O3PS
Molecular Weight:
305.37
Synonyms:
4-Pyrimidinol,2-(diethylamino)-6-methyl-, O-ester with O,O-dimethyl phosphorothioate (8CI);2-Diethylamino-6-methylpyrimidine-4-yl dimethyl phosphorothionate;Actellic;Actellic 50;Actellic 50E;Actellic Polvo;Actellic Powder;Blex;Dominator;Methylpirimiphos;Orafon;Pirimiphos M;Pirimiphosmethyl;Rotator;
EINECS:
249-528-5
Density:
1.229 g/cm3
Melting Point:
15 °C
Boiling Point:
386.5 °C at 760 mmHg
Flash Point:
187.6 °C
Appearance:
Yellow liquid
Risk Codes:
22-50/53-67-65-38-11
Safety:
60-61-62 Details
Transport Information:
UN 3082 9/PG 3
分类 微门户
供应更多
热点新闻
标题发布者点击/回复日期
湖南海利化工股份有限公司 王晗先生 81/0 2013-10-22
中国白酒3C计划 王晗先生 118/0 2013-10-22
600731:湖南海利半年报 王晗先生 77/0 2013-10-22
青岛生湿面6批次不合格 添加剂使用过量 王晗先生 80/0 2013-10-22
青岛抽检米面粮食制品 六批次面条不合格(图) 王晗先生 81/0 2013-10-22
生面条添加剂超标 米面全合格 王晗先生 76/0 2013-10-22
青岛米面抽检合格率93.3% 6批次生面条不合格 王晗先生 83/0 2013-10-22
湖南海利(600731)关联交易_新浪财经_新浪网 王晗先生 163/0 2013-10-22
韩国拟定修改食品标准规范中农残限量内容 张维 [Jon] 295/0 2013-10-21
米面没问题,面条查出“病” 李小雪 1314/0 2013-09-26
热点讨论
标题发布者点击/回复最新更新

行业报告

热门活动
历史状态没有找到更早文章 >>
专家 (0)
VIP商友 (0)
商友 (1)

王晗先生
市场经理
明桥贸易(上海)有限公司
管理员 (1)

柴琳 [Alma Chai]
运营
上海世易科技有限公司
求职招聘